Tất cả các vitamin nói chung và vài trò vitamin A nói riêng đều chung 6 đặc tính cơ bản:
Không mang lại năng lượng.
Hoạt động với một số lượng rất nhỏ.
Phần lớn không được tổng hợp bởi cơ thể người.
Không thể thay thế lẫn nhau.
Cần thiết cho sự hoạt động và quá trình phát triển của tổ chức.
Thiếu vitamin sẽ gây ra nhiều rối loạn.
Người ta chia các vitamin thành 2 nhóm như sau:
Nhóm vitamin tan trong chất béo: Là vitamin A, D, E, K thường đi kèm với chất béo của thức ăn. Một khẩu phần có hàm lượng lipid thấp thường ít các vitamin này hoặc cơ thể kém sử dụng các vitamin này.
Nhóm vitamin tan trong nước: bao gồm vitamin nhóm B, vitamin nhóm C, vitamin P, vitamin U. Cơ thể dễ dàng được thoả mãn nhu cầu các vitamin này khi dùng thức ăn tươi.
6 Bệnh phổ biến liên quan đến thiếu vitamin
| STT | Bệnh | Thiếu vitamin | Những rối loạn chính |
| 1 | Thiếu máu | Vitamin B12 | Tổn thương hệ thần kinh |
| 2 | Bệnh khô mắt | Vitamin A | Mù |
| 3 | Bệnh còi xương | Vitamin D | Biến dạng xương |
| 4 | Béri – béri | Vitamin B1 | Liệt |
| 5 | Scorbut | Vitamin C | Chảy máu |
| 6 | Pellagre | Vitamin PP | Rối loạn da và tâm thần |
Đọc thêm: Vai trò Vitamin D
Vitamin A
Vai trò của Vitamin A
Vitamin A dưới dạng retinoid tham gia vào sự cân bằng và đổi mới biểu mô
Trong cơ thể, vitamin A chuyển hóa thành acid retinoid cần thiết cho sự toàn vẹn của các tế bào biểu mô. Nó duy trì tình trạng dinh dưỡng bình thường của các biểu mô. Thực hiện hoạt động điều hòa trên tuyến bã nhờn và tuyến mồ hôi.
Vitamin A còn giúp cho quá trình tái tạo tổ chức giúp mau liền sẹo, các vết thương mau lành.
Khi thiếu vitamin A, các biểu mô quá sản, sừng hóa, các tuyến ngoại tiết giảm bài tiết, khả năng ngăn cản sự xâm nhập của vi khuẩn giảm đi. Da và niêm mạc khô, sừng hóa và dễ bị nhiễm khuẩn.
Trẻ em thiếu vitamin A lâm sàng sẽ thấy các dấu hiệu của bệnh khô mắt. Nhiễm khuẩn giác mạc có thể gây mù lòa. Trẻ dễ mắc các bệnh như tiêu chảy, viêm đường hô hấp, viêm đường tiết niệu do tế bào biểu mô ở đây bị tổn thương.
Vitamin A dưới dạng retinal có vai trò quan trọng đối với chức phận thị giác
Sắc tố nhạy cảm với ánh sáng nằm ở võng mạc là rodopxin gồm protid và dẫn xuất của vitamin A. Khi tiếp xúc với ánh sáng, rodopxin phân giải thành opxin (protid) và retinen (Andehyt của vitamin A). Khi mắt nghỉ, vitamin A dần dần được phục hồi từ retinen nhưng không hoàn toàn.
Việc bổ sung vitamin A thường xuyên từ thức ăn là cần thiết. Vì thiếu vitamin A sẽ làm giảm thị lực trong bóng tối (bệnh quáng gà). Dưới đây là chu trình chuyển hóa vitamin A tại võng mạc mắt.

Vitamin A có vai trò như là một yếu tố phát triển cơ thể trẻ
Vitamin A giữ vai trò tăng trưởng và nhân lên của tế bào nên cần cho sự phát triển bình thường của thai nhi, trẻ em và thanh niên. Vitamin A dưới dạng acid retinoic cần thiết cho sự tổng hợp những mucopolysaccarid phức tạp do tác động lên các receptor của nhân tế bào.
Các mucopolysaccarid là thành phần của glycoprotid của các mô sụn, xương. Nên khi thiếu vitamin A làm cho xương kém phát triển, cơ thể chậm lớn, xương sọ và cột sống ngừng phát triển sớm hơn. Trong khi các mô thần kinh vẫn tiếp tục phát triển gây tình trạng chèn ép thần kinh.
Vitamin A cần thiết cho các chức phận sinh sản
Vitamin A dưới dạng retinol cần thiết cho quá trình tạo tinh trùng, phát triển thai nhi. Thiếu vitamin A làm cho sự phát triển sinh dục chậm lại, rụng trứng không đều. Con đẻ ra có thể mắt không phát triển, sứt môi, thoát vị cơ hoành và thận lạc chỗ.
Vitamin A dưới dạng carotenoid có vai trò tăng cường sức đề kháng cơ thể
Vitamin A cần thiết cho chức năng miễn dịch, chủ yếu là tăng sức đề kháng không đặc hiệu cho cơ thể. Vitamin A có tác động tới mức độ đáp ứng miễn dịch bởi kháng thể của cơ thể. Còn Beta caroten tác động tới đáp ứng miễn dịch bởi tế bào lympho T.
Nghiên cứu của nhiều tác giả đã chứng minh Beta caroten có tác dụng kéo dài thời gian ủ bệnh cho những trẻ em nhiễm HIV từ mẹ.
Đọc thêm: Wikipedia – Vitamin A
B-caroten có tác dụng chống lại quá trình lão hóa trong cơ thế
B-caroten cùng với vitamin E và một số carotenoid khác có khả năng bảo vệ lipid. Chúng làm chậm lại một số quá trình thoái hoá. Cùng với các chất chống oxy hóa khác đóng vai trò quan trọng trong việc chống lại tác hại của các gốc tự do tích lũy theo tuổi tác.
Vai trò ngăn ngừa và chống lại ung thư
B-caroten và các dẫn xuất của vitamin A có tác dụng như một tác nhân làm biệt hóa trở lại. Đồng thời tạo khả năng chuyển các tế bào tiền ung thư thành tế bào bình thường.
Ngược lại, nếu uống vitamin A quá liều có thể bị ngộ độc thần kinh. Nặng có thể gây từ vong, nhẹ có thể thấy đau đầu, đau khớp, rụng tóc, dày vỏ xương dài.
Nhu cầu vitamin A
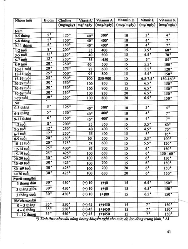
Nhu cầu vitamin A được tính bằng mcg hoặc bằng đơn vị quốc tế (UI). Mỗi UI bằng 0,3 microgam retinol, cũng có thể quy đổi nhu cầu retinol ra nhu cầu caroten. Nhu cầu vitamin A cho người Việt Nam: xin xem bảng phụ lục ở cuối bài này.
Nguồn cung cấp vitamin A
Dạng retinol chỉ có ở thực phẩm động vật dưới dạng este của các acid béo bậc cao trong gan, thận, phối và mỡ dự trữ. Vitamin A hòa tan trong lớp mỡ dưới da nhiều hơn là trong mỡ phủ tạng. Có nhiều trong cá biển hơn là cá nước ngọt, viatmin A có nhiều nhất trong gan cá thu.
Trong thực phẩm thực vật, vitamin A chỉ tồn tại dưới dạng provitamin A (caroten). Các caroten có nhiều trong các loại rau có màu xanh sẫm (rau ngót, rau muống…), các quả chín màu vàng, màu đỏ như gấc, cà chua, đu đủ, xoài, chuối tiêu…
Dựa vào tính chất mà người ta chia các caroten làm 3 loại là B-caroten, A-caroten và Y-caroten
Trong đó, B-caroten có hoạt tính vitamin A cao nhất, khi vào cơ thể thì 1 phân tử ß-caroten tách ra cho 2 phân tử retinol. Còn 1 phân tử A-caroten hay Y-caroten chi cho 1 phân từ retinol.
Người ta thấy, chỉ có 1/2 số caroten được hấp qua đường tiêu hóa và 1/3 trong số đó chuyển thành retinol. Như vậy, chỉ có 1/6 lượng caroten trong thực phẩm được hấp thu và chuyển thành retinol. Do vậy, nhu cầu vitamin A tính theo caroten sẽ cao gấp 6 lần nhu cầu tính theo retinol.
Đọc thêm: Điều trị bệnh còi xương thiếu vitamin D
Hấp thu Vitamin A
Vitamin A dưới dạng este hóa sẽ được giải phóng nhờ tác dụng của dịch tụy.
Vitamin A được hấp thu dưới dạng không phân giải và cần có muối mật và lipid. Trong tế bào niêm mạc ruột non, B-caroten bị phân giải thành 2 phân tử vitamin A. Nhưng do B-caroten khó hấp thu hơn vitamin A nên giá trị dinh dưỡng của nó chỉ bằng 1/6 so với vitamin A cùng trọng lượng.
Ngoài các tế bào niêm mạc ruột non, B-caroten còn được chuyển hóa thành vitamin A trong gan. Do đó, trong các bệnh suy giảm chức năng gan, hàm lượng vitamin A trong máu giảm, trong khi hàm lượng B-caroten lại tăng lên.

Vitamin D
Đến nay người ta đã biết đến trên 10 chất có tác dụng vitamin D, trong đó có 2 chất quan trọng là Ergocalciferol (vitamin D2) và Cholecalciferol (vitamin D3). Trong thực vật có ergosterol, dưới tác dụng của ánh nắng sẽ cho ergocalciferon. Trong động vật và người có 7-dehydro-cholesterol, dưới tác dụng của ánh nắng sẽ cho cholescalciferol.
Vai trò của vitamin D
Vai trò chính của vitamin D là điều hòa chuyển hóa calci và phospho trong cơ thể. Vì vậy, khi thiếu vitamin D sẽ gây bệnh còi xương ở trẻ em và loãng xương ở người lớn.
Vitamin D làm tăng hấp thu calci, phốt pho và magie ở ruột non do làm tăng tạo chất tải trong màng tế bào niêm mạc ruột. Vitamin D có vai trò tăng hoạt hóa enzyme phytase để thủy phân acid phytic giúp cho tăng hấp thu phốt pho ở đường tiêu hóa.
Sản phẩm chuyển hóa của vitamin D là 1,25-dihydroxy-cholescalciferol làm tăng sự lắng đọng calci ở xương, răng, khi thiếu vitamin D sẽ có biểu hiện của còi xương.
Vitamin D làm tăng giải phóng Ca2+ từ ti lạp thể vào bào tương, tham gia vào điều hòa nồng độ Ca máu.
Vitamin D cùng với nội tiết tố cận giáp trạng mở rộng ngưỡng thấm của thận đối với phốt pho.
Đọc thêm: Tổng quan triệu chứng còi xương thiếu vitamin D và các xét nghiệm chẩn đoán
Nhu cầu vitamin D
Thường được biểu thị bằng đơn vị quốc tế (UI), cứ 1UI vitamin D thì tương đương 0,25 microgam ergocalciferol. Nhu cầu vitamin D cho người Việt Nam: xin xem bảng phụ lục ở cuối bài này.
Nguồn cung cấp vitamin D
Cho đến nay người ta đã biết tới trên 10 chất có tác dụng vitamin D, quan trong nhất là 2 chất: ergocalciferol (vitamin D2) và cholescalciferol (vitamin D3).
Vitamin D có nguồn gốc là ngoại sinh: các thực phẩm giàu vitamin D là các thức ăn nhiều lipid như thịt, cá, tôm, trứng, sữa. Hàm lượng vitamin D trong gan cá lên tới 7.000 – 50.000 UI, lòng đỏ trứng có 1 – 5UI/gam.
Vitamin D có nguồn gốc nội sinh: quá trình chuyển dạng các sterol ở da của người dưới tác dụng của tia cực tím, ánh sáng mặt trời là nguồn gốc hàng đầu của vitamin D. Nó thường thỏa mãn 50 – 70% nhu cầu, tùy theo điều kiện khí hậu, địa lý và xã hội.
Hấp thu vitamin D
Trong thức ăn động vật vitamin D là cholesterol. Khi được hấp thu cholesterol biến đổi thành 7-dehydrocholesterol và được vận chuyển đến tế bào da, ở đây nó chuyển hóa thành vitamin D3. Trong thức ăn thực vật, vitamin D dưới dạng esgosterol.
Khi được hấp thu nó sẽ chuyển thành vitamin D2. Trong mỡ cá, một phần vitamin D dưới dạng este hóa. Vitamin D được hấp thu dưới dạng không phân giải, cần có muối mật và lipid.
Vitamin D còn có nguồn gốc nội sinh do quá trình chuyển hóa ergosterol và 7-dehydrocholesterol ở da dưới tác dụng của tia cực tím, ánh sáng mặt trời.

Xem thêm:
THỨC UỐNG DINH DƯỠNG COLOS IgGOLD
GIÁ TRỊ DINH DƯỠNG CỦA MỘT SỐ THỰC PHẨM
DINH DƯỠNG CHO TRẺ BỊ CÒI XƯƠNG
ĐIỀU TRỊ BỆNH CÒI XƯƠNG THIẾU VITAMIN D.








